近日,中国科学院上海光学精密机械研究所微纳光电子功能材料实验室与复旦大学合作,在镁硅掺杂的Ce:YAG荧光陶瓷的Ce3+离子发光红移机理和荧光性能研究方面取得新进展。相关研究成果发表在《合金和化合物杂志》(Journal of Alloys and Compounds)。
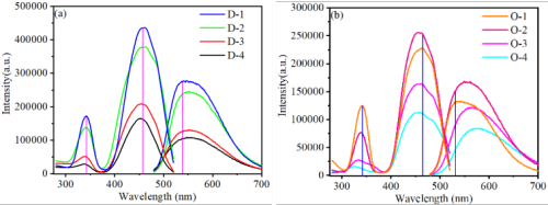
随着高功率照明和显示行业的不断发展,Ce:YAG荧光陶瓷因其高光效和优异的热力学性能,已成为国际研究的焦点和热点。但由于Ce3+在YAG晶格中受蓝光激发后的发射波段位于535nm附近,混合而成的白光色温较高,显色性能难以满足高质量照明的要求。而镁硅掺杂的Ce:YAG荧光陶瓷相较于纯Ce:YAG荧光陶瓷具有更多的红光成分,因而可以与蓝光LED组合,混合出具有更低色温和更高显色指数的高质量暖白光。由于Mg2+半径介于Y3+,Al3+之间,在两种位置都可替代,而不同的掺杂位置对Ce:YAG的发光性能和红移机理的影响至今尚未得到报道。
在该研究中,科研人员针对Mg2+在YAG晶格中的正十二面体中心位的Y3+替代和正八面体中心位的Al3+替代设计了两组实验以探究其对性能的影响。通过Rietveld精修和拉曼谱测试发现,晶格常数和拉曼峰的变化可以归因于Mg-O键键长和键强的不同。而Mg2+在不同格位的掺杂导致的发光红移程度不同则可以通过位形坐标解释,而其红移的主要原因可归结于斯托克斯位移。
该项工作得到中科院国际合作项目和中国国家关键研发项目的支持。

来源: 上海光学精密机械研究所
